✨Giải Bài Tập Đại Số Và Giải Tích Lớp 11 (Nâng Cao) (Tái Bản 2015)
Mua tại Shopee
Mua tại Tiki
Mua tại Lazada
Mua tại TiktokGiải Bài Tập Đại Số Và Giải Tích Lớp 11
Cuốn sách gồm những nội dung chính như sau:
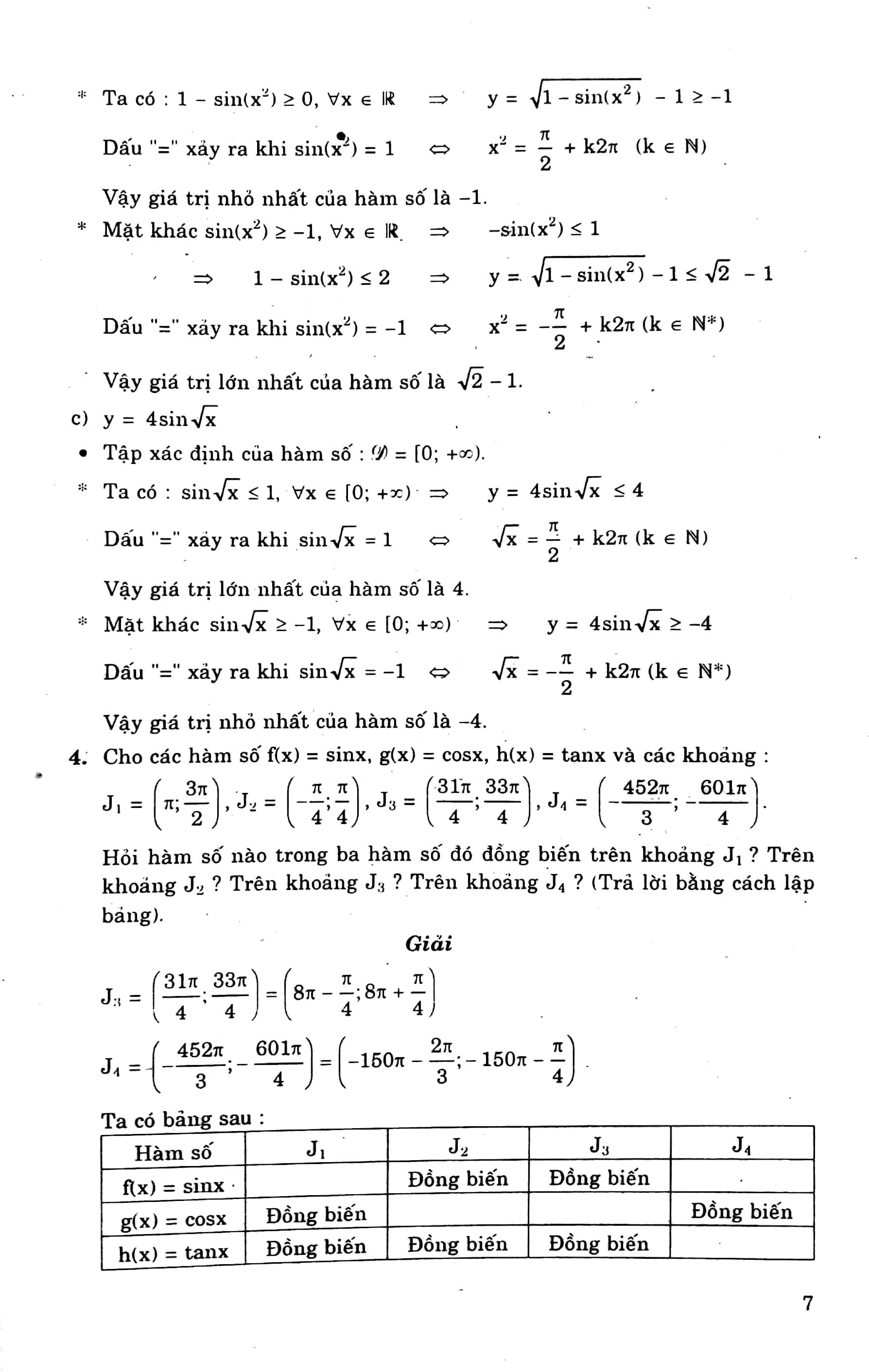
Chương I: Hàm số lượng giác và Phương trình lượng giác
Chương II: Tổ hợp và xác suất
Chương III: Dãy số, cấp số cộng và cấp số nhân
Chương IV: Giới hạn
Chương V: Đạo hàm.
Mỗi bài học đều có phần tóm tắt kiến thức chung và bài tập ứng dụng. Các bài tập đều được giải chi tiết nhằm giúp các em tự đối chiếu, so sánh với kết quả bài làm của mình.
Đây là tài liệu hữu ích giúp các em ôn luyện để nắm vững kiến thức Toán lớp 11.
Mua tại Shopee
Mua tại Tiki
Mua tại Lazada
Mua tại TiktokBộ lọc thô đầu nguồn Nano Geyser dùng cho nước sinh hoạt, Xử lý nước nhiều bùn đất, Nước có độ cứng cao - Hàng Chính Hãng COMBO LÕI LỌC CHO BỘ LỌC THÔ ĐẦU
Xe đẩy đo đường điện tử D0031 Xe đẩy đo đường điện tử D0031, có khoảng đo hiển thị trong màn hình LCD là từ 0 - 9999mm. Sản phẩm có phần cán và tay
BÌNH BÁCH HOA & SEN CÁ DÁNG THON 37CM GỐM SỨ THỦ CÔNG NAM BỘ Gốm sứ thủ công vẽ bằng tay, chất liệu thân thiện,men tự nhiên Xuất xứ gốm Biên Hòa. Được sản
- SKU: 1063691 - Kiểu dáng: Balo trẻ em size nhỏ - Thành phần chất liệu: 100% PVC Shiny Coated Cotton - Số ngăn: 1 ngăn lớn - Kích thước: 19cmx22.5cmx7cm - Màu sắc: Blue
Táp đầu giường gỗ chuyên sản xuất hàng tại xưởng kích thước cao 50cm, rộng 40cm sâu 40cm giá gốc tại xưởng Sản phẩm này là tài sản cá nhân được bán bởi Nhà Bán
Táp đầu giường gỗ chuyên sản xuất hàng tại xưởng kích thước cao 50cm, rộng 40cm sâu 40cm giá gốc tại xưởng Sản phẩm này là tài sản cá nhân được bán bởi Nhà Bán
Táp đầu giường gỗ xoan ta chuyên sản xuất hàng tại xưởng kích thước cao 50cm, rộng 40cm sâu 40cm giá gốc tại xưởng Sản phẩm này là tài sản cá nhân được bán bởi
Táp đầu giường gỗ xoan ta chuyên sản xuất hàng tại xưởng kích thước cao 50cm, rộng 40cm sâu 40cm giá gốc tại xưởng Sản phẩm này là tài sản cá nhân được bán bởi
Táp đầu giường gỗ chuyên sản xuất hàng tại xưởng kích thước cao 50cm, rộng 40cm sâu 40cm giá gốc tại xưởng Sản phẩm này là tài sản cá nhân được bán bởi Nhà Bán
Táp đầu giường gỗ xoan ta chuyên sản xuất hàng tại xưởng kích thước cao 50cm, rộng 40cm sâu 40cm giá gốc tại xưởng Sản phẩm này là tài sản cá nhân được bán bởi
Táp đầu giường gỗ chuyên sản xuất hàng tại xưởng kích thước cao 50cm, rộng 40cm sâu 40cm giá gốc tại xưởng Sản phẩm này là tài sản cá nhân được bán bởi Nhà Bán
#### Quy cách: Bìa mềm Ngôn ngữ: tiếng Anh #### The box set contains six books, together creating a complete collection of the famous detective’s cases. The books are beautifully packaged in a ridged, matt-laminated
Táp xoan đào tay âm cực đẹp . Mẫu này tuy giá thành hơi cao nhưng vì n quá đẹp nên mih vẫn đăng ạ . Dù có bn loại nội thất công nghiệp hiện
Vòng tay Phiten rakuwa duo II Mô tả sản phẩm: Với công nghệ Aqua Titan, Phiten giới thiệu một chiếc vòng đeo tay kết hợp lợi ích sức khỏe và thiết kế hiện đại. Thu
Chất liệu: Gỗ sồi Nga Độ bền: 20 - 30 năm Bộ bao gồm: 1 tủ đầu giường Kích thước: 45cm * 40cm * 65cm (Dài * Rộng * Cao) Thương Hiệu: OEM Phong cách
Chất liệu: Gỗ xoan đào Xuất xứ: Việt Nam Kích thước (cm): 46 x 37.5 x 60 (N x S x C) Chất liệu: Gỗ Xoan Đào Chất liệu: Gỗ xoan đàoĐộ bền: 20 -
LẦN ĐẦU CHẾ TÁC ĐƯỢC SẢN PHẨM LÀ ĐÁ THẠCH NÀY. RẤT CỨNG VÀ RẤT KHÓ CHẾ TÁC. KHÂU CHỌN ĐÁ RẤT KHÓ, PHẢI ĐÁP ỨNG TIÊU CHUẨN MỚI CHẾ TÁC ĐƯỢC. NGHIÊN CỨU RẤT
M110 của Aimo là dòng máy in nhãn đa năng, máy có pin sạc, kết nối Bluetooth và in qua thiết bị di động nhờ app Print Master. Với hỗ trợ khổ nhãn in lên đến
Kích thước: -Dài 50cm. -Rộng 35cm. -Cao 55cm. Sản phẩm này là tài sản cá nhân được bán bởi Nhà Bán Hàng Cá Nhân và không thuộc đối tượng phải chịu thuế GTGT. Do đó
Kích thước: -Dài 50cm. -Rộng 35cm. -Cao 55cm. Sản phẩm này là tài sản cá nhân được bán bởi Nhà Bán Hàng Cá Nhân và không thuộc đối tượng phải chịu thuế GTGT. Do đó
Kích thước: -Dài 50cm. -Rộng 35cm. -Cao 55cm. Sản phẩm này là tài sản cá nhân được bán bởi Nhà Bán Hàng Cá Nhân và không thuộc đối tượng phải chịu thuế GTGT. Do đó
ギヴン イラスト集 単行本 光と影と、 夜と昼と、 夏と冬。 全部が鮮やかに響いてくる――。 フジテレビ “ノイタミナ" にてTVアニメ化の超話題作、 『ギヴン』のスタイリッシュなイラストを集めた、 キヅナツキ初のイラスト集!
Combo Manga - Doraemon - Chú Mèo Máy Đến Từ Tương Lai: Tập 1 - 45 (Tái Bản 2023) (Bộ 45 Tập) Những câu chuyện về chú mèo máy thông minh Doraemon và nhóm bạn
ĐC: 27 Tôn Thất Tùng, F Phạm Ngũ Lão, Quận 1, HCM PHONE / ZALO :0906 615 388 WEBSITE : EMAIL: ttctruongthinh@ - Chuyên dùng cho ổ HDD/SSD Box 2.5”/3.5” SATA III - Tốc độ
Tác giả: Nhiều tác giả Khổ sách: 19x24cm Giá bán: 1,050,000 VNĐ In lần thứ 1 năm 2023 Số trang: 93 NXB: NXB Trẻ NPH: NXB Trẻ Giới thiệu tóm tắt tác phẩm: Bộ boxset
THÔNG TIN SẢN PHẨM Chiều cao 30cm Chất liệu: Thủy tinh Bề mặt lọ hoa được đánh bóng, mang lại vẻ đẹp và sự tinh tế. Lọ hoa được làm từ chất liệu thủy tinh
- Vùng: Mỹ - Ngôn ngữ màn hình: Tiếng Anh - Số người chơi: 1 - Thông Số Kỹ Thuật: Cam kết sản phẩm mới 100%. - Dịch Vụ Hậu Mãi và Chế Độ Bảo
- Vùng: Mỹ - Ngôn ngữ màn hình: Tiếng Anh - Số người chơi: 1 - 2 - Thông Số Kỹ Thuật: Cam kết sản phẩm mới 100%. - Dịch Vụ Hậu Mãi và Chế
Chất liệu: Gỗ sồi Nga Độ bền: 20 - 30 năm Bộ bao gồm: 1 tủ đầu giường Kích thước: 45cm * 40cm * 65cm (Dài * Rộng * Cao) Thương Hiệu: OEM Phong cách
THÔNG TIN SẢN PHẨM - VỎ CHĂN Sagatex được thiết kế với kiểu dáng sang trọng và đường may tỉ mỉ, tạo nên vẻ đẹp tinh tế và đẳng cấp cho không gian phòng ngủ
Bơm máy lọc nước Nano Geyser, Bơm tăng áp giúp hút đẩy, Bảo hành chính hãng 3 năm - Hàng Chính Hãng ƯU ĐIỂM NỔI BẬT - Hàng chính hãng bảo hành 3 năm -
Đặc điểm nổi bậc của thạch anh tóc vàng Điều đặc biệt mà đá thạch anh tóc vàng được ưa chuộng đó chính là hiệu ứng quang học và độ cứng lên đến 7/10 Mohs.
Vòng Tay Trầm Hương phối đá Tóc Đen cùng charm bạc thái - bình an, may mắn, tài lộc size hạt: 6mm( 6ly ) Nguyễn Văn Hà Add: Số 100 Ngô Quyền, P. Ngô Quyền,
Tính năng sản phẩm:Cáp HDMI Unitek Hỗ trợ 4k, 2k Chính hãng Cáp HDMI1.4 ,4K,2K cao cấp. Cáp HDMI Unitek được thiết kế, Kết nối giữa nguồn HDMI với màn hình HDMI. Cáp HDMI Unitek
Video review kính goggles LS2 Aura: Kính goggles LS2 Aura có 5 màu: Đen, đen đỏ, đen cam, đen xanh, đen vàng. Giá sản phẩm: 890.000đ Không bao gồm Pinlock và Tear off. Pinlock rời:
Kính goggles LS2 Aura có 5 màu: Đen, đen đỏ, đen cam, đen xanh, đen vàng. Giá sản phẩm: 890.000đ Không bao gồm Pinlock và Tear off. Pinlock rời: 390.000đ Tear off: 190.000đ/ bộ/ 10
Táp gỗ để đầu giường Táp có kích thước: Chiều rộng 50cm Chiều sâu 40cm Chiều cao 55cm Táp có 2 màu như hình là màu gỗ tự nhiên và màu cánh gián. Táp được
Lò Nướng Điện Đa Năng Comet CM6510 (10L) có kích thước nhỏ gọn với chiều dài khoảng 40cm, giúp bạn dễ dàng bố trí sản phẩm trong gian bếp. Toàn thân sản phẩm dạng khối
Premium Boxset Thanh Gươm Diệt Quỷ - Kimetsu No Yaiba (Hộp 23 Tập) "Hiện tượng Manga toàn cầu" - Tác phẩm chinh phục hàng triệu độc giả trên khắp thế giới - Nhân kỉ niệm
Loại sản phẩm: box SSD rời dành cho ổ cứng M.2 S 1201 A Hỗ trợ các chuẩn M2 (PCIe/NVMe) Ngõ vào: TypeC Ngõ ra: TypeC 3.1 Hỗ trợ tối đa lên đến: 5Gbps Dây
THÔNG TIN SẢN PHẨM: Máy đo huyết áp Microlife BP 3NZ1-1P thế hệ mới với thiết kế nhỏ gọn và thân thiện, hoạt động đơn giản chỉ 1 nút bấm thích hợp sử dụng tại
SẢN PHẨM BÌNH PHONG THỦY TÀI LỘC GỐM SỨ BÁT TRÀNG CAO CẤP CAM KẾT HÀNG LOẠI 1 SAI ĐỀN TIỀN 100% Thông tin sản phẩm: Sản phẩm: Bình Hút Lộc Phong Thủy – Thuận
Nâng cấp từ model cũ Máy khoan điện đầu 10mm KYNKO KD17-10 đã được cải tiến từ mã KD60-10 trước đây với những ưu điểm nổi bật hơn trong khi giá thành gần như không
THÔNG TIN SẢN PHẨM - GA GIƯỜNG KHÁCH SẠN với độ bền cao và dễ giặt sạch vải (T400)(T500) được dệt với kỹ thuật tiên tiến, mang lại độ bền cao và không lo bị
-Chất liệu: Ghế: Chân sắt sơn tĩnh điện, mặt đệm bọc da Pu -Thông tin kỹ thuật -Màu sắc: Tùy chọn Lý do bạn nên chọn nội thất Bình Long Báo giá cạnh tranh Kho
-Chất liệu: Ghế: Chân sắt sơn tĩnh điện, mặt đệm bọc da Pu -Thông tin kỹ thuật -Màu sắc: Tùy chọn Lý do bạn nên chọn nội thất Bình Long Báo giá cạnh tranh Kho
Đồ Chơi Xe Tank Tương Lai Điều Khiển Từ Xa - VECTO VT6615A/WH - Màu Trắng Đồ chơi xe tank tương lai điều khiển từ xa từ VECTO – món đồ chơi điều khiển với
Đồ Chơi Xe Tank Tương Lai Điều Khiển Từ Xa - VECTO VT6615A/BK - Màu Đen Đồ chơi xe tank tương lai điều khiển từ xa từ VECTO – món đồ chơi điều khiển với
Bàn gỗ cạnh Sofa SMLIFE Sagat ngày càng được ưa chuộng sử dụng tại các căn hộ chung cư hiện đại. Bàn cạnh Sofa SMLIFE được thiết kế đơn giản pha trộn những nét độc
THÔNG TIN SẢN PHẨM Chiều cao 30cm Chất liệu: Thủy tinh Bề mặt lọ hoa được đánh bóng, mang lại vẻ đẹp và sự tinh tế. Lọ hoa được làm từ chất liệu thủy tinh
Khi [MUA]Vòng Tay Trầm Hương Trụ Trúc Sánh Chìm sẽ được COMBO QUÀ TẶNG – HẤP DẪN: ️ Hộp Gỗ Cao Cấp (Lan Tỏa Yêu Thương) ️ 1 sợi dây dự phòng. ️ Thẻ BẢO
HỘP ĐỰNG Ổ CỨNG DI ĐỘNG SSD GIAO DIỆN USB-C 10GB RA CỔNG M2 PCLE/SATA ENCLOSURE S1225A UNITEK THÔNG TIN SẢN PHẨM : - HÃNG : tUNITEK - MÃ SẢN PHẨMt: S1225A - CHIỀU CAO
Tủ kê đầu giường hàng trắnh cao cấp ạ Giá yêu thương chỉ 800k Mn quan tâm ib e tư vấn ạ nhà e còn nhiều loại hàng khác như bàn trang điểm và tủ
Lõi UF Hollow Fiber Filter Nano Geyser, Lõi lọc nước số 4 máy lọc nước UF, Dùng cho các dòng máy lọc nước UF, Geyser Eco Crystal, Eco M - Hàng Chính Hãng Lõi UF
Can a good company become a great one and, if so, how? After a five-year research project, Collins concludes that good to great can and does happen. In this book, he uncovers the underlying variables that enable
DEKTON là một thương hiệu dụng cụ cầm tay nội địa trung quốc có uy tín được nhập khẩu phân phối chính hãng ở việt nam. Dòng sản phẩm của hãng luôn mang tới cho
The Report Of 機動戦士ガンダム 水星の魔女 Season2 - The Report Of Mobile Suit Gundam - The Witch From Mercury Season 2 (Japanese Edition) - fahasa
Mình đặc biệt yêu những bông hoa sen, mê mẩn bởi mùi thơm tinh khiết biểu tượng của Quốc hoa. Sáng mở mắt ra khắp phòng thơm hương sen thấy lòng nhẹ bẫng. Muốn ở
Vòng Tay Trầm Hương phối Đá Xanh Kyanite cùng charm bạc thái - bình an, may mắn, tài lộc Size hạt: 6mm ( 6ly ) Nguyễn Văn Hà Add: Số 100 Ngô Quyền, P. Ngô
日本語初級 2 大地 文型説明と翻訳 ベトナム語版 - Tiếng Nhật Sơ Cấp 2 - fahasa
👁️ 114 | ⌚2025-10-02 03:04:12.883
Toán 11: Cách thuộc nhanh công thức lượng giác Tổng thành tích và tích thành tổng #Short
[TOÁN 11]- CHẮC CHẮN CÓ TRONG THI GIỮA KÌ!!! #toanthayquangtuan #toan11 #xuhuong
Toán 11 - Bấm máy tính giới hạn dãy số và Hàm Số - phần 2 #shorts
Mẹo Đạo hàm nhanh P2
Toán 11. Hàm số lượng giác. Một buổi học online.
Bài 1. Hàm số lượng giác Đại số và Giải tích 11. Chương 1. Hàm số và phương trình lượng giác.

Toán 11: Cách thuộc nhanh công thức lượng giác Tổng thành tích và tích thành tổng #Short
[TOÁN 11]- CHẮC CHẮN CÓ TRONG THI GIỮA KÌ!!! #toanthayquangtuan #toan11 #xuhuong
Toán 11 - Bấm máy tính giới hạn dãy số và Hàm Số - phần 2 #shorts
Mẹo Đạo hàm nhanh P2
Toán 11. Hàm số lượng giác. Một buổi học online.
Bài 1. Hàm số lượng giác Đại số và Giải tích 11. Chương 1. Hàm số và phương trình lượng giác.

+ CHI TIẾT - 100% da bò tự nhiên - Chất liệu: Da bò Pebbled mềm mại - Màu da: Vàng cam - Kiểu dáng: Đứng – Gập 2 - Khóa kéo: Không - Kích
4P's có nghĩa "For Peace" - cho Hòa Bình tràn ngập trên toàn thế giới. Tham vọng ở Pizza 4P's không chỉ đơn giản là "Một nhà hàng Pizza tuyệt vời" mà chúng tôi có
Le Monde Steak là hệ thống Bít Tết theo phong cách thành thị Pháp đầu tiên tại Việt Nam, nơi thực khách tự do trải nghiệm những món ăn mang hương vị Pháp đầy lôi
Sôi nổi, phóng khoáng, vui nhộn chính là tinh thần mà Yakimono – Quán thịt nướng Nhật Bản muốn mang đến cho bạn. Trái ngược với khung cảnh yên bình bên ngoài, chỉ cần đẩy
Hoa Yêu Thương là bông hoa được ghép từ nhiều trái tim với mong muốn kêu gọi mọi người hãy chia sẻ yêu thương nhiều hơn. Cuộc sống sẽ tốt hơn rất nhiều nếu chúng
Gyu-Kaku nhập thịt tươi và cắt từng lát một tại nhà hàng để đảm bảo độ tươi ngon. Nước tương và miso truyền thống Nhật Bản chúng tôi dùng cho sốt và ướp thịt kĩ
Hạn sử dụng: 2025-12-31 00:00:00 Potico là điện hoa chuyên cung cấp bó hoa yêu thương và quà tặng ý nghĩa hàng đầu tại Việt Nam. Potico luôn miễn phí giao hàng trong khu vực
Nếu bạn là người Hàn Quốc sinh sống hoặc làm việc xa nhà, bạn nên ghé qua Butoomac để cảm nhận hương vị quê hương. Đây là những nhà hàng rất nổi tiếng ở Hà
Ra mắt thương hiệu tại Hà Nội với cơ sở đầu tiên Hàng Bông vào năm 2016, hiện nay, Don Chicken đã có 14 cửa hàng tại Hà Nội, Quảng Ninh, Bắc Ninh, Thanh Hóa
MIYEN - Nét chấm phá Nhật Bản tinh tế đầy duy mỹ. Miyen Japanese Fusion Cuisine mong muốn đem đến cho Quý Thực khách trải nghiệm bầu không khí giao thời của một đất nước
Với phương châm: “Nơi ẩm thực Hồng Kông được tôn vinh và chăm chút. Chúng tôi mang đến quý khách sự trải nghiệm tuyệt đối từ vị giác đến văn hóa ẩm thực”. Baoz Dimsum
A Mà Kitchen - Stay Vietnam, Taste HongKong Trở về Hồng Kông 40 năm trước, A Mà - Bà Nội của một gia đình Trung Hoa là người luôn tận tụy chăm lo từng bữa
Thương hiệu bánh donut thơm ngon, và những ly cà phê đậm đà, mang đến không gian thân thiện để kết nối mọi người. CRISPY DONUTS luôn cập nhật hương vị mới, đảm bảo mỗi
Đến Hệ thống tiNiWorld, các bậc phụ huynh hoàn toàn có thể yên tâm vì con yêu của mình được bảo vệ an toàn nhất. Tất cả các thiết bị đồ chơi tại đây đều
BORNGA VIỆT NAM: Là chi nhánh thuộc thương hiệu và chuỗi hệ thống nhà hàng nổi tiếng toàn cầu Bornga, Bornga Việt Nam hân hạnh phục vụ những món ăn mang đậm nét truyền thống
Otoké Chicken tự hào là thương hiệu gà rán của Việt Nam - được đầu tư và quản lý bởi Quỹ đầu tư VI (VIGroup) – một công ty quản lý quỹ chuyên nghiệp, chuyên
Với sự ra đời của cửa hàng đầu tiên tại Việt Nam vào năm 2007, chuỗi cửa hàng TOUS les JOURS khẳng định vị trí dẫn đầu trong phân khúc cao cấp bánh và cà
Bạn đang lên kế hoạch cho một bữa tiệc ấm cúng, một buổi hẹn hò hay một buổi liên hoan cuối năm? Đừng bỏ lỡ voucher tiền mặt từ Ssamjang - Nướng & Cuốn Chợ
Shang Chi - Taiwanese Rotary Hotpot là con tàu trải nghiệm và khám phá thiên đường lẩu Đài Loan đầy màu sắc và đa dạng. Shang Chi cũng là sự giao thoa giữa yếu tố
Không gian rộng rãi và sạch sẽ, nhân viên thân thiện, nhiệt tình chắc chắn là điểm đến lý tưởng cho một cuộc hẹn tại Spicy Box. Đến với Spicy Box bạn sẽ được hóa